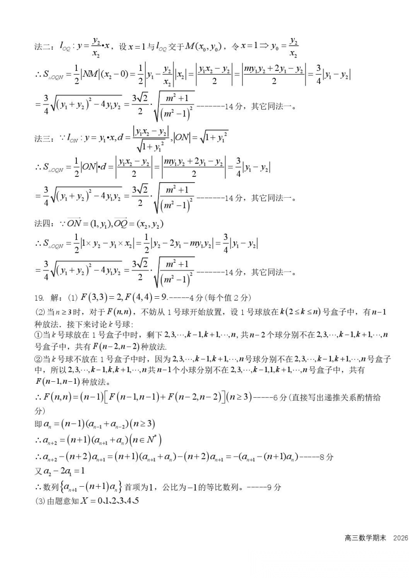
【全科】树德中学高2026届高三上学期期末测试
2026-02-05 18:00:56文/张丽娟









推荐阅读
【全科】2026年1月随州市普通高中高三年级质量检测【全科】2026年1月随州市普通高中高三年级质量检...
2026-02-05
【梅州期末全科】2026届梅州市高三上学期2月质检【梅州期末全科】2026届梅州市高三上学期2月质检
2026-02-05
【芜湖一模全科】芜湖市2025-2026学年度第一学期高三高中教学质量监控【芜湖一模全科】芜湖市2025-2026学年度第一...
2026-02-05
【保山统测数学】保山市2025-2026学年高三上学期期末质量监测【保山统测数学】保山市2025-2026学年高三上...
2026-02-05
【昭通统测全科】昭通市2026届高中毕业生2月模拟考试【昭通统测全科】昭通市2026届高中毕业生2月模拟...
2026-02-05
【泰安一模全科】2026届泰安市高三上学期一轮检测【泰安一模全科】2026届泰安市高三上学期一轮检测
2026-02-05
【昆明玉溪统测全科】昆明、玉溪市普通高中2026届高三摸底诊断测试【昆明玉溪统测全科】昆明、玉溪市普通高中2026届...
2026-02-05
四川省巴中市普通高中2023级“一诊”考试(巴中一诊)四川省巴中市普通高中2023级“一诊”考试(巴中一...
2026-02-05
山西省运城市2026届高三上学期1月期末调研考试山西省运城市2026届高三上学期1月期末调研考试
2026-02-05
山东省枣庄市2026届高三第一学期质量检测(枣庄一调)山东省枣庄市2026届高三第一学期质量检测(枣庄一...
2026-02-05
湖南省长沙市2026届高三年级模拟考试(长沙一模)湖南省长沙市2026届高三年级模拟考试(长沙一模)
2026-02-05
湖北省十堰市2026届高三年级元月调研考试一模测试湖北省十堰市2026届高三年级元月调研考试一模测试
2026-02-05
河南省驻马店2026届高三第一学期期末教学质量监测河南省驻马店2026届高三第一学期期末教学质量监测
2026-02-05
河北省2026届高三上学期2月份金科大联考河北省2026届高三上学期2月份金科大联考
2026-02-05
安徽省淮北市2026届高三第一次质量监测(淮北一模)安徽省淮北市2026届高三第一次质量监测(淮北一模...
2026-02-05
点击查看 高考试题 更多内容





