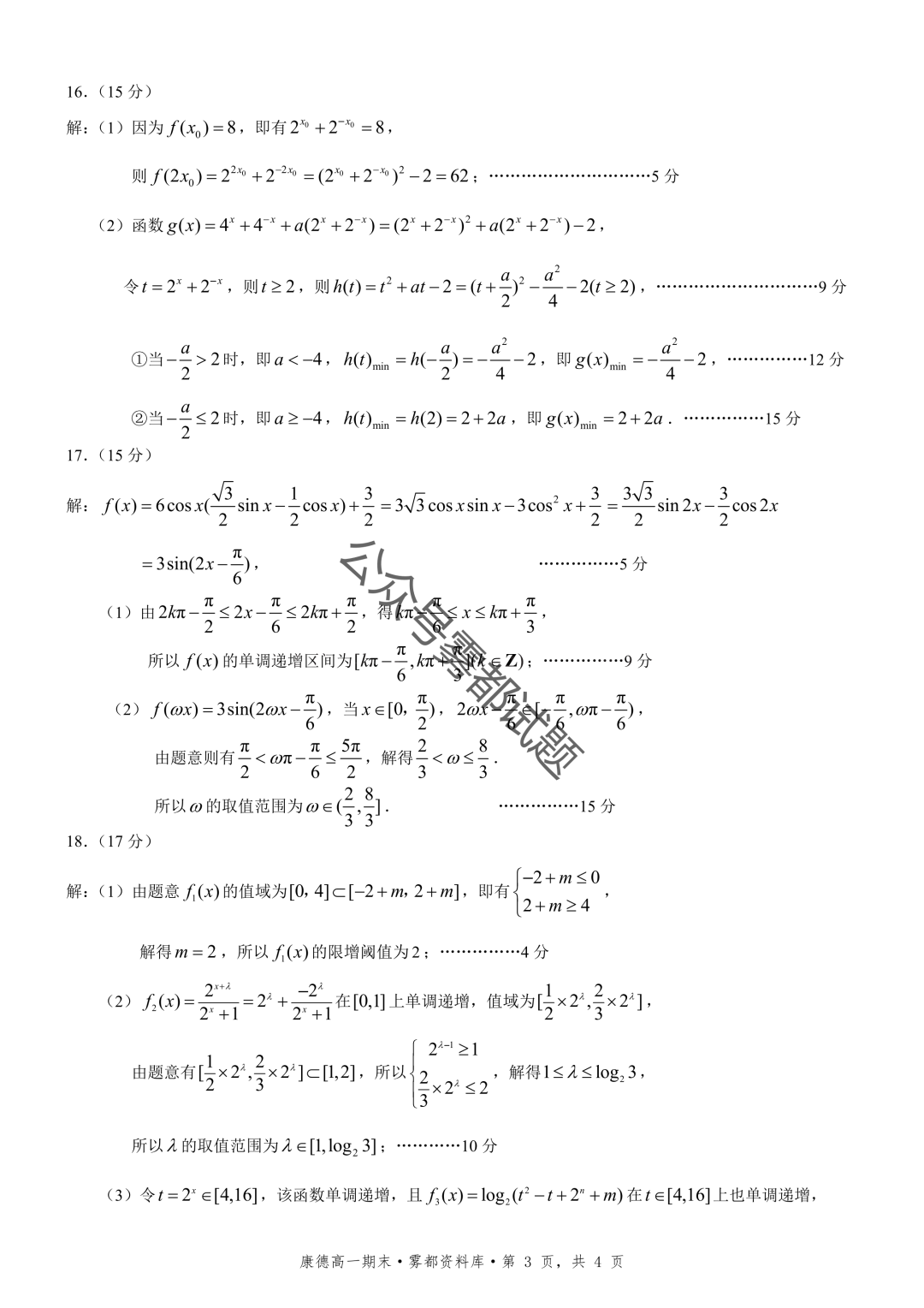
2026年重庆高一上康德卷期末考试数学、政治试卷+答案
2026-01-28 14:04:48文/鲁映彤













推荐阅读
2028届重庆市高一上1月期末考试(康德卷)英语、化学、生物、地理试卷+答案2028届重庆市高一上1月期末考试(康德卷)英语、...
2026-01-28
【第二天科目汇总】九龙坡等五区高2026届学业质量调研抽测(第一次诊断)试卷【第二天科目汇总】九龙坡等五区高2026届学业质量...
2026-01-28
【全科】2027届重庆市高二上1月期末考试(康德卷)【全科】2027届重庆市高二上1月期末考试(康德卷...
2026-01-28
2025-2026学年度高三期末考试答案2025-2026学年度高三期末考试答案
2026-01-28
【湛江一模】湛江市2026年普通高考测试一答案【湛江一模】湛江市2026年普通高考测试一答案
2026-01-28
2026届大湾区高三联合模拟考试一下载2026届大湾区高三联合模拟考试一下载
2026-01-28
2026湖南高三1月联考答案2026湖南高三1月联考答案
2026-01-28
2026陕西高三1月联考2026陕西高三1月联考
2026-01-28
【佛山一模】2025-2026学年佛山市高三教学质量检测一答案【佛山一模】2025-2026学年佛山市高三教学质...
2026-01-28
衡水金卷2026届高三年级1月份适应性测试答案衡水金卷2026届高三年级1月份适应性测试答案
2026-01-28
湛江市2026年普通高考测试(一)第一天科目公布(湛江一模)湛江市2026年普通高考测试(一)第一天科目公布(...
2026-01-27
2026届大湾区普通高中毕业年级联合模拟考试(一)第一天科目(大湾区一模)2026届大湾区普通高中毕业年级联合模拟考试(一)...
2026-01-27
2025-2026学年佛山市普通高中教学质量检测(一)第一天科目(佛山一模)2025-2026学年佛山市普通高中教学质量检测(...
2026-01-27
九龙坡区高2026届学业质量调研抽测(第一次)语文数学试卷·重庆市主城五区一诊九龙坡区高2026届学业质量调研抽测(第一次)语文...
2026-01-27
四川省“元三维大联考”2023级高三第二次诊断考试(绵阳二诊B)四川省“元三维大联考”2023级高三第二次诊断考试...
2026-01-27
点击查看 高考试题 更多内容









