安徽省合肥市第一中学2026届高三上学期1月月考数学
2026-01-24 10:28:54文/蔡延成











推荐阅读
四川省宜宾市普通高中2023级第一次诊断性测试(宜宾一诊)四川省宜宾市普通高中2023级第一次诊断性测试(宜...
2026-01-24
甘肃省酒泉市2026届高三上学期期末考试语文数学甘肃省酒泉市2026届高三上学期期末考试语文数学
2026-01-24
陕西渭南市2026 届高三教学质量检测(I)(渭南一模)语文数学陕西渭南市2026 届高三教学质量检测(I)(渭南...
2026-01-24
北京市东城区2026届高三上学期期末考试语文北京市东城区2026届高三上学期期末考试语文
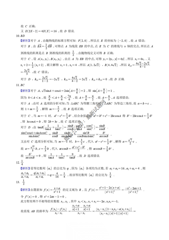
2026-01-24
河南省鹤壁市2026届高三一模语文河南省鹤壁市2026届高三一模语文
2026-01-24
四省天一联考2025-2026学年高三上学期1月月考语文四省天一联考2025-2026学年高三上学期1月月...
2026-01-24
安徽省县域高中合作共享联盟2026届高三上学期1月期末考试语文安徽省县域高中合作共享联盟2026届高三上学期1月...
2026-01-24
辽宁省沈阳市五校联考2026届高三上学期1月期末考试语文辽宁省沈阳市五校联考2026届高三上学期1月期末考...
2026-01-24
辽宁省辽阳市2026届高三一模(辽阳一模)语文辽宁省辽阳市2026届高三一模(辽阳一模)语文
2026-01-24
辽宁省大连市2026年高三1月双基模拟考试数学试题辽宁省大连市2026年高三1月双基模拟考试数学试题
2026-01-24
云南师范大学附属中学2026届高三上学期1月月考云南师范大学附属中学2026届高三上学期1月月考
2026-01-24
吉林省吉林地区普通中学2026届高三上学期第二次调研测试(吉林二调)物理试题吉林省吉林地区普通中学2026届高三上学期第二次调...
2026-01-24
河南省青桐鸣大联考2026届高三上学期1月月考河南省青桐鸣大联考2026届高三上学期1月月考
2026-01-24
江西省创智协作体2026届高三上学期元月联合调研考试江西省创智协作体2026届高三上学期元月联合调研考...
2026-01-24
辽宁名校联盟2026届高三上学期1月期末考试语文物理辽宁名校联盟2026届高三上学期1月期末考试语文物...
2026-01-24
点击查看 高考试题 更多内容







