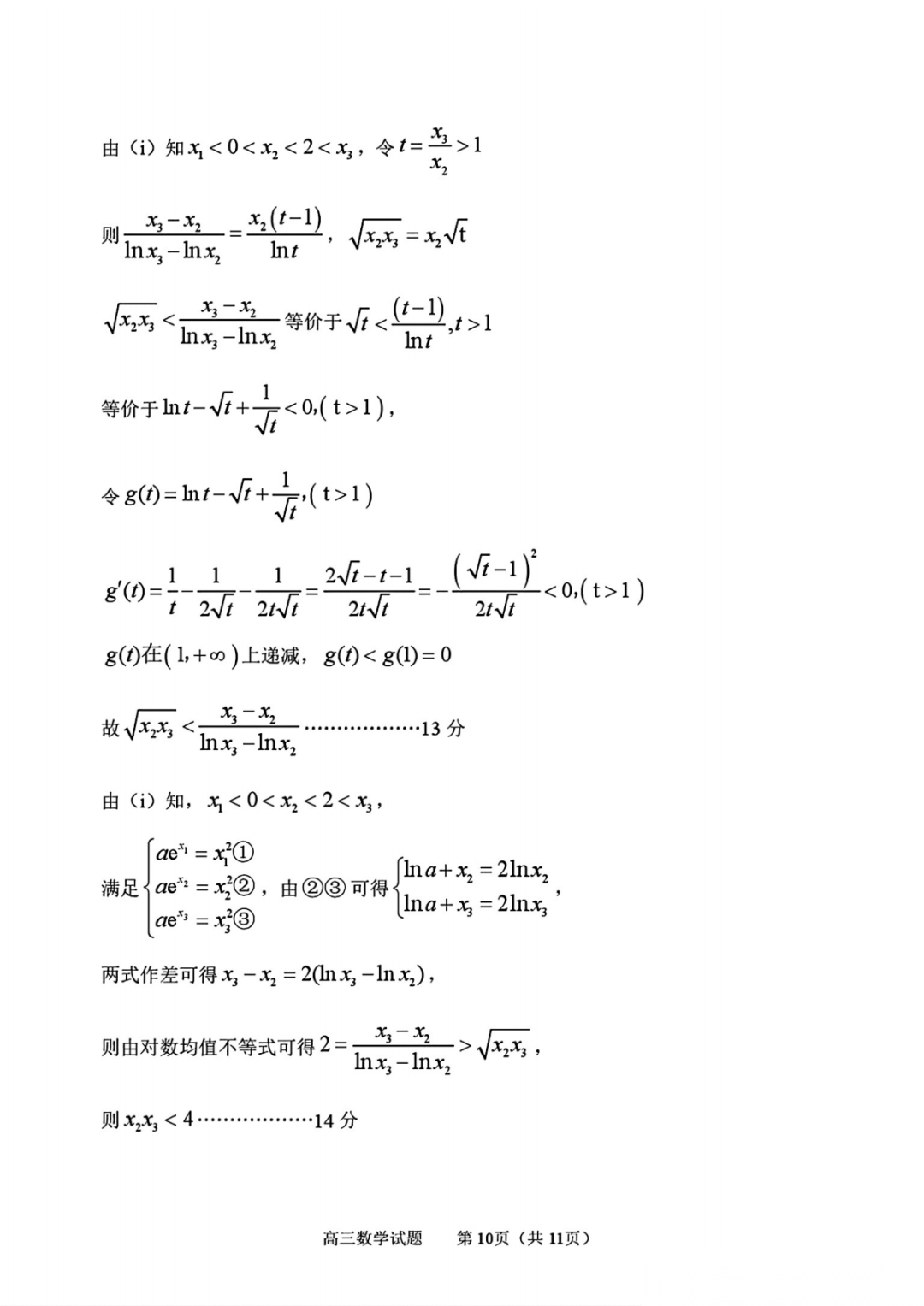
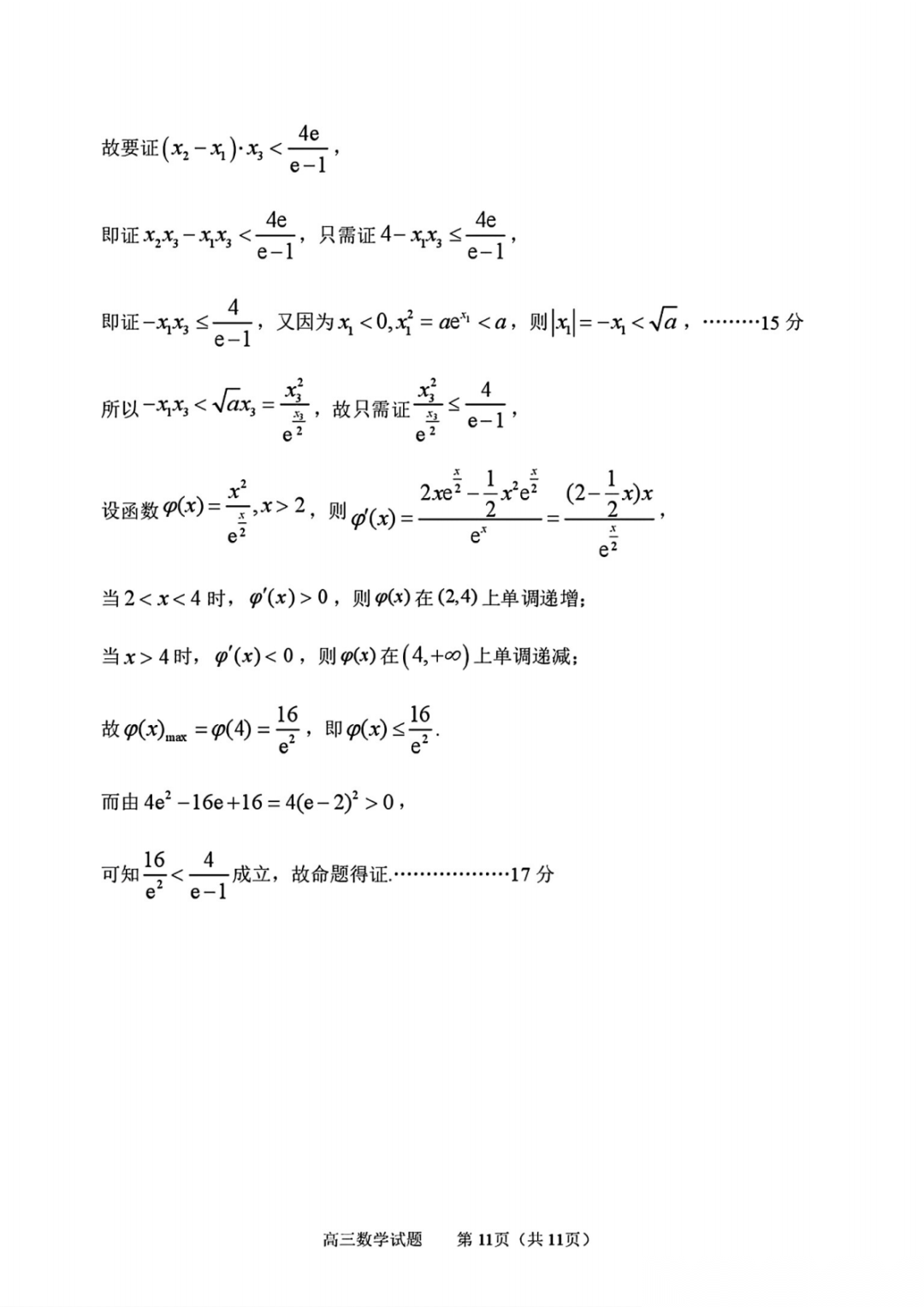
【全科】淄博市2025-2026学年度第一学期高三摸底质量检测
2026-01-24 09:56:04文/董慧














推荐阅读
四川省广安市2026届高三第一次模拟考试(广安一诊)数学试题四川省广安市2026届高三第一次模拟考试(广安一诊...
2026-01-24
重庆八中2026届高考适应性月考卷(五)数学试题重庆八中2026届高考适应性月考卷(五)数学试题
2026-01-24
【全科】安徽省合肥一中高2026届高三1月考试【全科】安徽省合肥一中高2026届高三1月考试
2026-01-24
【全科】安徽省县域高中合作共享联盟2025-2026学年高三上学期1月期末质量检测【全科】安徽省县域高中合作共享联盟2025-202...
2026-01-24
【广安一诊全科】广安市高2026届高三第一次模拟考试【广安一诊全科】广安市高2026届高三第一次模拟考...
2026-01-24
【全科】2026届云南三校高考备考实用性联考卷(五)【全科】2026届云南三校高考备考实用性联考卷(五...
2026-01-24
【全科】辽宁省名校联盟2026届高三年级上学期期末质量检测【全科】辽宁省名校联盟2026届高三年级上学期期末...
2026-01-24
【惠州二调全科】惠州市2026高三第二次调研考试【惠州二调全科】惠州市2026高三第二次调研考试
2026-01-24
【全科】云南师大附中2026届高三1月高考适应性月考卷(六)【全科】云南师大附中2026届高三1月高考适应性月...
2026-01-24
【全科】重庆市第八中学2026届高三1月高考适应性月考卷五(一诊)【全科】重庆市第八中学2026届高三1月高考适应性...
2026-01-24
【全科】江西智创协作体2026年元月高三联合调研考试【全科】江西智创协作体2026年元月高三联合调研考...
2026-01-24
【全科】巴中市普通高中2026届高三一诊模拟考试【全科】巴中市普通高中2026届高三一诊模拟考试
2026-01-24
【全科】江西省上进联考2026届高三1月联合测试【全科】江西省上进联考2026届高三1月联合测试
2026-01-24
【延安一模全科】延安市20226届普通高中高三模拟测试(一)【延安一模全科】延安市20226届普通高中高三模拟...
2026-01-24
【全科】河北省五个一名校联盟2026届高三1月期末考试【全科】河北省五个一名校联盟2026届高三1月期末...
2026-01-24
点击查看 高考试题 更多内容







