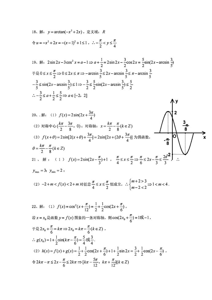
上海市实验学校东滩高级中学2025-2026学年高三上学期数学试题
2026-01-21 08:52:57文/芮兴佳




推荐阅读
2025上海大学在上海招生计划及学费 含公费师范生、专项计划和特殊招生上海大学2025年在上海的招生计划主要包括招生专业...
2026-01-20
2025年山东大学在上海强基计划招生专业及选科要求 录取分及成绩构成山东大学2025年的强基计划共招收8个专业,涵盖了...
2026-01-20
2025淮北师范大学在上海招生计划及学费 含公费师范生、专项计划和特殊招生淮北师范大学2025年在上海的招生计划主要包括招生...
2026-01-20
2025燕山大学在上海招生计划及学费 含公费师范生、专项计划和特殊招生燕山大学2025年在上海的招生计划主要包括招生专业...
2026-01-20
2025苏州科技大学在上海招生计划及学费 含公费师范生、专项计划和特殊招生苏州科技大学2025年在上海的招生计划主要包括招生...
2026-01-20
2025湖南科技学院在上海招生计划及学费 含公费师范生、专项计划和特殊招生湖南科技学院2025年在上海的招生计划主要包括招生...
2026-01-20
2026上海高考志愿录取顺序图解 24个志愿怎么填报2026年上海新高考实行“3+3”模式,本科普通批...
2026-01-20
2025东北财经大学在上海招生计划及学费 含公费师范生、专项计划和特殊招生东北财经大学2025年在上海的招生计划主要包括招生...
2026-01-20
2026上海高考报名人数预计多少 历年多少人参加高考2026年上海高考报名人数预计增至7.2万至7.4...
2026-01-20
校友会2026上海十大本科学校排行榜 排名前10本科院校校友会2026上海本科排名靠前的大学:复旦大学、上...
2026-01-20
2025四川传媒学院在上海招生计划及学费 含公费师范生、专项计划和特殊招生四川传媒学院2025年在上海的招生计划主要包括招生...
2026-01-20
2025广西师范大学在上海招生计划及学费 含公费师范生、专项计划和特殊招生广西师范大学2025年在上海的招生计划主要包括招生...
2026-01-20
2025中北大学在上海招生计划及学费 含公费师范生、专项计划和特殊招生中北大学2025年在上海的招生计划主要包括招生专业...
2026-01-20
2025大连大学在上海招生计划及学费 含公费师范生、专项计划和特殊招生大连大学2025年在上海的招生计划主要包括招生专业...
2026-01-20
2025年中山大学在上海强基计划招生专业及选科要求 录取分及成绩构成中山大学2025年的强基计划共招收11个专业,涵盖...
2026-01-19
点击查看 上海高考数学试题 更多内容









