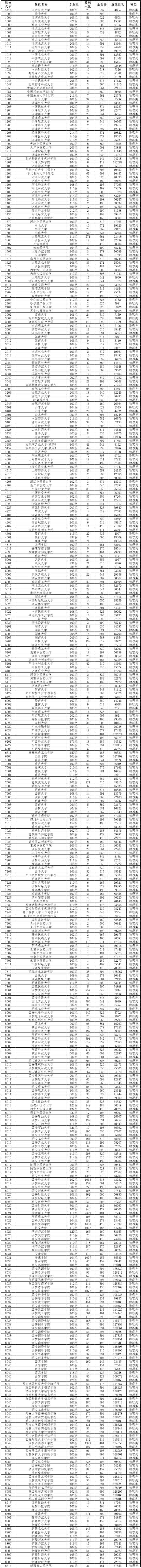
2025陕西高考本科各大学录取分数线 含全国高校最低投档分
2025-07-23 13:44:47文/叶丹对陕西考生来说,高校录取分数线是考生填报志愿的重要参考依据,通常分为本科批、专科批等批次,不同院校及专业分数线差异较大。影响分数线的因素包括招生计划、报考热度、地域优势、学科实力等。2025在陕西招生的各985/211及普通大学投档录取分数线陆续公布,下面一起来看看吧。

2025陕西高考本科各大学录取分数线


极差和线差分别是什么意思
级差:分为“志愿级差”和“专业级差”,是指高校在录取第一志愿和非第一志愿考生时,最低录取控制线的分数差。一般情况下,录取非第一志愿考生的最低控制线要比录取第一志愿考生的分数高出几分至几十分不等。不过现在部分院校及专业已取消级差录取规则,详细请以各院校当年招生简章为准。
如:某高校规定的专业级差为1分,考生成绩为580分,但第一专业志愿不能满足时,将考生成绩减去1分,为579分考虑第二专业志愿,并依次类推。
线差:也称“分差”,是考生自身成绩、高校录取成绩与批次控制线的差额,可分为批次线差、院校录取线差、专业录取线差等。
2025陕西高考本科征集志愿填报截止时间 几号结束填报2025陕西高考本科征集志愿填报截止时间:7月24...
2025-07-23
陕西4+0中外合作办学有哪些大学 有什么专业陕西中外合作办学项目覆盖西安交大、西工大等名校,提...
2025-07-22
2025陕西各批次征集志愿填报时间及补录院校名单2025陕西高考各批次征集志愿填报时间:本科批次征...
2025-07-18
陕西中外合作办学4+0的院校有哪些 哪个学校好陕西省作为西北地区教育中心,拥有多所开展中外合作办...
2025-07-18
2025陕西征集志愿补录院校名单 附补录时间及填报入口2025陕西征集志愿补录院校情况会根据招生录取进度...
2025-07-17
2025陕西专科批录取结果什么时候公布 多少天知道结果陕西高招录取工作分批次进行,考生要关注所报批次的录...
2025-07-17
2025全国警校在陕西录取分数线汇总 投档最低分是多少全国警校2025年在陕西录取分数线目前还没有公布,...
2025-07-17
全国艺术类院校在陕西2025录取分数线汇总目前2025年全国艺术类院校在陕西的录取分数线尚未...
2025-07-16
2025陕西高考征集志愿大学名单 附本科征集补录学校2025陕西征集志愿学校名单一般会在征集志愿填报的...
2025-07-16
2025陕西高考专科征集志愿填报时间 几号几点截止2025陕西高考高职(专科)提前批次征集志愿时间是...
2025-07-16
全国军校在陕西2025年最低录取分汇总全国军校2025年在陕西最低录取分目前还没有公布,...
2025-07-16
陕西2025高考征集补录学校名单 含各批次征集志愿填报时间陕西本科提前批征集补录的院校包含:西南政法大学、西...
2025-07-16
全国211高校在陕西2025年最低录取分汇总全国211大学2025年在陕西最低录取分目前还没有...
2025-07-15
2025陕西高考录取率及录取人数汇总 共录取多少考生预计2025年本科录取率将维持在37%至39%之间...
2025-07-15
陕西高考本科录取率 2025年本科录取人数预计多少人2025年陕西高考的大幕落下,本科录取率及录取人数...
2025-07-15
点击查看 高校分数线 更多内容









