2025广西高考数学试题(网传版 全国二卷+新高考II卷)
2025-06-08 10:27:46文/张哲(网络收集)2025年广西高考数学真题文字版
- 2,8,14,16,20平均数为
A.
B.
C.
D.
2.
,
A.
B.
C.
D.
3.
,
,
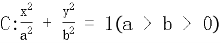
A.
B.
C.
D.
4.
解集是
A.
B.
C.
D.![]()
5.
,
,
,
,
A.
B.
C.
D.
6. 抛物线
焦点
,
,过
作
准线的垂线,垂足为
。若
,则
A.
B.
C.
D.
7.
为等差数列
前
项和,
,
,
A.
B.
C.
D.
8.
,
,
A.![]()
B.![]()
C.![]()
D.![]()
9.
为等比数列
前
项和,
为
公比
,则
A.
B.
C.
D.
10.
定义在
上奇函数,x>0时,
,则
A.
B. 当x<0时,
C.
当且仅当
D.
是
极大值点
11. 双曲线
左、右焦点为
,左、右顶点为
。以
为直径的圆与
的一条渐近线交于
,且
,则
A.
B.
C.
离心率为
D. 当
时,四边形
面积为![]()
12.
,
,
,则
____
13.
是
极值点,则
____
14.一个底面半径为
,高为
的封闭圆柱形容器,内有两个半径相等的铁球,则铁球半径的最大值为____
。
15.
,
(1) 求
。
(2)
,求
值域和单调区间。
16.椭圆
的离心率为
,长轴长为
。
(1) 求
的方程。
(2) 过点
的直线
与
交于
,
为坐标原点,若
,求
。
17.如图,四边形
中,
,
,
为
中点,
在
上,
,
,
。将四边形
沿
翻折至四边形
,使得面
与面
所成的二面角为
。

(1) 证明:
平面
。
(2) 求面
与面
所成二面角的正弦值。
18.
,
。
(1) 证明:
在
存在唯一极值点和唯一零点。
(2) 设
为
在
的极值点和零点。
(i)
,证明:
在
单减
(ii) 比较
与
的大小,并证明。
19.甲、乙乒乓球练习,每个球胜者得
分,负者得
分,设每个球甲胜概率为
(
),乙胜概率为
,
,且各球胜负独立。对正整数
,记
为打完
个球后甲比乙至少多得
分的概率,
为打完
个球后乙比甲至少多得
分的概率。
(1) 求
(用
表示)。
(2) 若
,求
。
(3) 证明:对任意正整数
,
。(2)求面
与面
所成二面角的正弦值.
广西高考位次184000名左右报什么大学好(2025年参考)广西高考成绩排名184000左右,放眼全国根据各大...
2025-06-08
广西物理类460分能考哪些大学 2025考生稳上的大学名单2025广西高考物理类460分能上的大学有不少。值...
2025-06-07
2025广西物化生274分左右能上什么大学 可以报考的院校名单2025广西物化生274分能上的大学有:泸州医疗器...
2025-06-07
广西物理类448分能考哪些大学 2025考生稳上的大学名单2025广西高考物理类448分能上的大学有不少。值...
2025-06-07
2025广西物化生453分左右能上什么大学 可以报考的院校名单2025广西物化生453分能上的大学有:陇东学院、...
2025-06-07
2025广西物化生276分左右能上什么大学 可以报考的院校名单2025广西物化生276分能上的大学有:甘肃有色冶...
2025-06-07
广西高考位次179000名左右报什么大学好(2025年参考)广西高考位次179000左右能报的大学有:物理类长...
2025-06-07
广西高考2025英语试题难不难 含英语试卷估分方法2025广西高考英语将于6月8日下午开考,广西高考...
2025-06-07
2025广西高考语文试题(网传版)2025广西高考语文试题(网传版)
2025-06-07
广西历史类247分能考哪些大学 2025考生稳上的大学名单广西历史类247分可以报的大学有:三亚城市职业学院...
2025-06-07
2025广西物化生561分左右能上什么大学 可以报考的院校名单2025广西物化生561分能上的大学有:西南医科大...
2025-06-07
广西历史类250分能考哪些大学 2025考生稳上的大学名单2025广西高考历史类250分值得报的大学有:三亚...
2025-06-07
广西历史类467分能考哪些大学 2025考生稳上的大学名单2025广西高考历史类467分值得报的大学有:东北...
2025-06-07
广西物理类242分能考哪些大学 2025考生稳上的大学名单广西物理类242分可以报的大学有:云南理工职业学院...
2025-06-07
广西物理类639分能考哪些大学 2025考生稳上的大学名单广西物理类639分可以报的大学有:中山大学、南开大...
2025-06-07
点击查看 广西高考数学试题 更多内容









